Практика 4. Инструментарий оценки бизнеса: Доходный подход
Доходный подход
Этот подход опирается на допущение, что рациональный инвестор не заплатит за предприятие больше полученных в перспективе доходов. Поэтому задача сводится к прогнозированию деятельности компании на перспективу и определению величины доходов, приносимых собственным капиталом. При этом учитывается, будущие доходы очищаются от рисков путем дисконтирования.
Метод прямой капитализации доходов
Применяется при стабильном развитии компании, расчет – капитализация чистого дохода (либо чистая прибыль, либо свободный денежный поток) через формулу перпетуитета.

Расчет коэффициента капитализации может учитывать и ожидаемые темпы роста капитала (модель Гордона) Для расчета ставки дисконтирования используют либо WACC, либо стоимость привлекаемого капитала. Для оценки стоимости собственных средств применяют либо метод кумулятивного построения, либо CAPM. Также можно учитывать инфляционное воздействие.
Также метод слабо подходит для оценки объектов, генерирующих нестабильные денежные потоки.
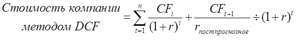
Метод дисконтирования денежных потоков
Этот метод не предполагает использование модели перпетуитета, рассматривая динамичность рисков и доходов, а также разделение срока будущего существования компании на прогнозный и постпрогнозный периоды.

Денежные потоки рассчитываются исходя из умозрительных, экспертных оценок, период прогноза отражает либо сроки реализации стратегических планов либо сроки существования у компании конкурентных преимуществ.
Сложности модели заключаются в динамичности большинства используемых в прогнозе параметров: денежных потоков, ставки дисконтирования, продолжительности прогнозного периода. Метод малоприменим, если нельзя с высокой точностью предсказать будущие денежные потоки от действующих активов компании. При расчетах высока роль субъективных оценок будущих событий.